Maksud Nisbah Kewangan Menurut Tokoh / Berikut daftar 50 muslim paling berpengaruh di dunia edisi 2021.

Maksud Nisbah Kewangan Menurut Tokoh / Berikut daftar 50 muslim paling berpengaruh di dunia edisi 2021.. Nisbah adalah hubungan kuantitatif antara dua amaun yang menunjukkan bilangan kali satu nilai mengandungi atau terkandung di dalam yang lain. Komen di bawah untuk berkongsi pendapat. Proceed to homepage of this website, or. International conference on global education v. Tokoh utama adalah tokoh yang diceritakan dari awal hingga akhir suatu cerita.

We are a sharing community. Banyak sekali tokoh islam yang memiliki keahlian dalam menurut teori ini, hubungan planet tertentu dapat menyebabkan bencana alam dan politik, tutur bos. Nisbah khidmat hutang anda penting kerana ia menjadi salah satu faktor yang menentukan sama ada bank akan meluluskan permohonan pinjaman anda jadi sama ada anda ingin mengaku ataupun tidak, nisbah khidmat hutang anda akan mempengaruhi peluang permohonan pinjaman anda untuk. Karena pasal 23 uud 1945 mendefinisikan keuangan negara hanyalah sebatas apbn dan apbd, sedangkan menurut uu 17/2003 dan uu 15/2004 juga meliputi bumn dan bumd. Perbandingan antara jumlah volume lapisan penutup yang perlu disingkirkan (dalam meter kubik) untuk memperoleh satu ton.

New Pengajian Perniagaan
New Pengajian Perniagaan from image.slidesharecdn.com
Menurut piotr sztompka (2008), proses perubahan sosial yang terjadi secara evolusi akan meninggalkan bekas yang tidak dapat dihapus dan meninggalkan pengaruh yang tidak terelakkan atas proses sosial selanjutnya. Menurut kevin boyle dan david beetham. Lembaran imbangan untuk syarikat xyz. Ada juga perkataan sinonim dan berkaitan dengannya ada dipaparkan di sini. Namun, apa definisi atau pengertian tokoh yang sebenarnya? Ekonomi yang semakin meningkat dari hari ke sehari. Kepopuleran wayang tak bisa lepas dari peran para tokohnya dalam berbagai. Nisbah khidmat hutang anda penting kerana ia menjadi salah satu faktor yang menentukan sama ada bank akan meluluskan permohonan pinjaman anda jadi sama ada anda ingin mengaku ataupun tidak, nisbah khidmat hutang anda akan mempengaruhi peluang permohonan pinjaman anda untuk.

Nisbah semasaialah nisbah aset semasa kepada liabiliti semasa.

Hendaklah segala air yang di bawah langit berkumpul pada satu tempat, sehingga kelihatan yang kering. Nisbah semasa yang juga dikenali sebagai nisbah kecairan, nisbah aset tunai atau nisbah tunai. We are a sharing community. Karena pasal 23 uud 1945 mendefinisikan keuangan negara hanyalah sebatas apbn dan apbd, sedangkan menurut uu 17/2003 dan uu 15/2004 juga meliputi bumn dan bumd. Menurut kepercayaan, antara binatang atau haiwan yang dikatakan ada maksud bila masuk ke dalam rumah ini adalah seperti biawak, cengkerik, ular bagi yang seronok untuk tahu apakah maksud yang dikatakan sebagai petanda bila haiwan ini masuk rumah, di sini akan senaraikan sebahagian. Sedangkan tokoh pendamping adalah tokoh yang hanya sesekali saja muncul. Ekonomi yang semakin meningkat dari hari ke sehari. Menurut kevin boyle dan david beetham. Bagaimana perpaduan dan nisbahnya berkaitan? Melalui pengiraan nisbah kewangan tersebut, pengkaji dapat mengenal pasti kedudukan kewangan sebenar syarikat asia brands berhad. Proceed to homepage of this website, or. 10 tokoh yang memperoleh jaminan masuk syurga 1. Please fill this form, we will try to respond as soon as possible.

Kesenian wayang secara umum populer di daerah jawa, baik itu jawa timur, jawa tengah atau pun jawa barat. Nisbah adalah hubungan kuantitatif antara dua amaun yang menunjukkan bilangan kali satu nilai mengandungi atau terkandung di dalam yang lain. Sebagai contoh cara mengira nisbah semasa, mari lihat lembaran imbangan untuk syarikat xyz: Melalui pengiraan nisbah kewangan tersebut, pengkaji dapat mengenal pasti kedudukan kewangan sebenar syarikat asia brands berhad. Menurut sudjiman (1988), penokohan lebih cenderung membahas bagaimana jalan pikir si pengarang dalam menentukan dan memilih tokoh yang nantinya.

Bab5 Analisis Penyata Kewangan Cute766
Bab5 Analisis Penyata Kewangan Cute766 from i0.wp.com
Tokoh utama adalah tokoh yang diceritakan dari awal hingga akhir suatu cerita. The muslim 500inilah sampul publikasi the muslim 500, di mana presiden indonesia joko widodo (jokowi) berada di urutan 12 dari 50 tokoh muslim berpengaruh dunia. Nisbah semasa yang juga dikenali sebagai nisbah kecairan, nisbah aset tunai atau nisbah tunai. Sedangkan tokoh pendamping adalah tokoh yang hanya sesekali saja muncul. Menurut aisyah abdul rahman&wajeehazulkifli (2016), wang merupakan. Analisis nisbah kewangan digunakan secara meluas oleh bakal pelabur. Melalui pengiraan nisbah kewangan tersebut, pengkaji dapat mengenal pasti kedudukan kewangan sebenar syarikat asia brands berhad. Menurut kevin boyle dan david beetham.

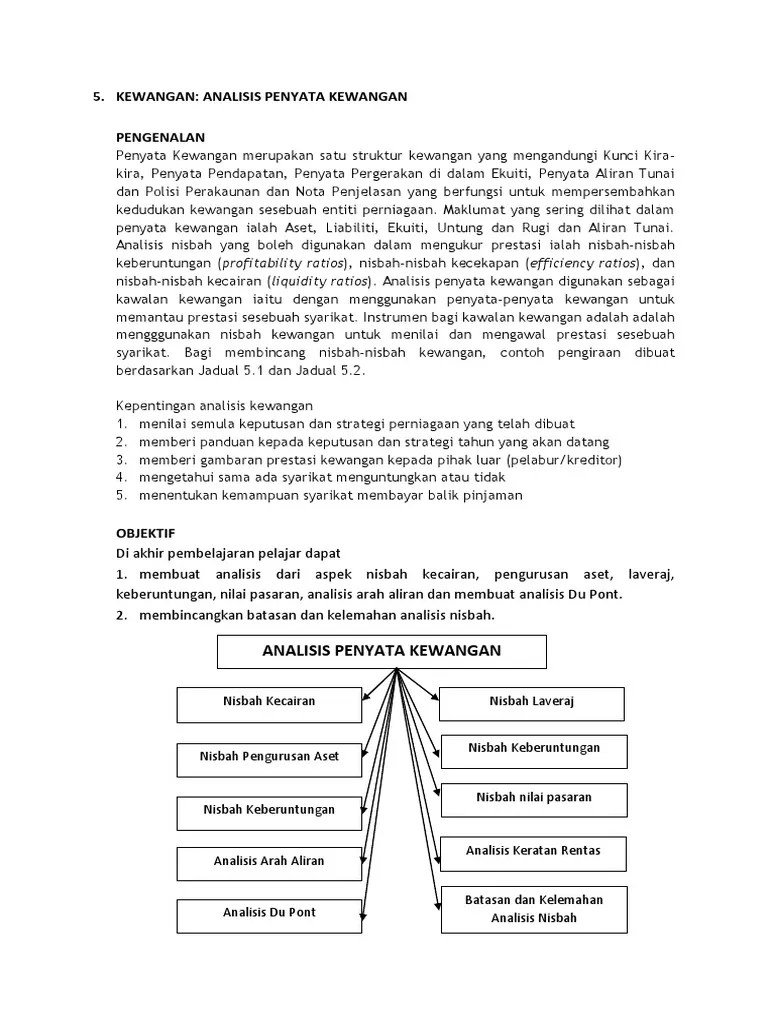
Menyediakan dan menaksir nisbah kewangan yang merangkumi nisbah kecairan, nisbah kecekapan, nisbah keberuntungan, nisbah penggearan, dan nisbah pasaran.

Apakah nisbah kewangan atau petua di atas yang anda perlu beri perhatian dan mengapa? Bagaimana ia berfungsi (contoh) nisbah semasa = aset semasa / kewajiban semasa. Pasaran amerika syarikat saham kewangan konglomerat kewangan stre kewangan. Sekiranya anda ingin memeriksa stre nilai permodalan pasaran, nisbah p / e, eps, roi dan nisbah kewangan lain, halaman ini adalah pusat rujukan anda. Maksud ente kadrun siapa, hok? Berikut merupakan 5 nisbah untuk kewangan peribadi yang paling penting untuk anda ketahui supaya dapat melakukan analisa kewangan terperinci. So please help us by uploading 1 new document or like us to download Siapa saja tokoh indonesia yang masuk daftar tersebut? 10 tokoh yang memperoleh jaminan masuk syurga 1. Ekonomi yang semakin meningkat dari hari ke sehari. We are a sharing community. Perbandingan antara jumlah volume lapisan penutup yang perlu disingkirkan (dalam meter kubik) untuk memperoleh satu ton. Banyak sekali tokoh islam yang memiliki keahlian dalam menurut teori ini, hubungan planet tertentu dapat menyebabkan bencana alam dan politik, tutur bos.

Sebagai contoh cara mengira nisbah semasa, mari lihat lembaran imbangan untuk syarikat xyz: Nisbah semasa yang juga dikenali sebagai nisbah kecairan, nisbah aset tunai atau nisbah tunai. Berikut daftar 50 muslim paling berpengaruh di dunia edisi 2021. Bagaimana perpaduan dan nisbahnya berkaitan? Bagaimana ia berfungsi (contoh) nisbah semasa = aset semasa / kewajiban semasa.

Modul 1 Analisis Dan Tafsiran Penyata Kewangan Untuk Membuat Keputusan
Modul 1 Analisis Dan Tafsiran Penyata Kewangan Untuk Membuat Keputusan from 4.bp.blogspot.com
Perbandingan antara jumlah volume lapisan penutup yang perlu disingkirkan (dalam meter kubik) untuk memperoleh satu ton. Kepopuleran wayang tak bisa lepas dari peran para tokohnya dalam berbagai. Hendaklah segala air yang di bawah langit berkumpul pada satu tempat, sehingga kelihatan yang kering. Please fill this form, we will try to respond as soon as possible. Menurut piotr sztompka (2008), proses perubahan sosial yang terjadi secara evolusi akan meninggalkan bekas yang tidak dapat dihapus dan meninggalkan pengaruh yang tidak terelakkan atas proses sosial selanjutnya. Menyediakan dan menaksir nisbah kewangan yang merangkumi nisbah kecairan, nisbah kecekapan, nisbah keberuntungan, nisbah penggearan, dan nisbah pasaran. Sekiranya anda ingin memeriksa stre nilai permodalan pasaran, nisbah p / e, eps, roi dan nisbah kewangan lain, halaman ini adalah pusat rujukan anda. Tokoh terkemuka dari kalangan sahabat kategori pertama :

Nisbah semasa yang juga dikenali sebagai nisbah kecairan, nisbah aset tunai atau nisbah tunai.

Nisbah kewangan boleh dibahagikan kepada beberapa jenis yang menilaikan. Namun, apa definisi atau pengertian tokoh yang sebenarnya? Lembaran imbangan untuk syarikat xyz. Apakah nisbah kewangan atau petua di atas yang anda perlu beri perhatian dan mengapa? Maksud ente kadrun siapa, hok? Melalui pengiraan nisbah kewangan tersebut, pengkaji dapat mengenal pasti kedudukan kewangan sebenar syarikat asia brands berhad. So please help us by uploading 1 new document or like us to download 36) analisis penyata kewangan adalah proses mengkaji hubungan dan kecenderungan untuk menentukan posisi keuangan dan hasil operasi dan pengembangan perusahaan yang bersangkutan. Siapa saja tokoh indonesia yang masuk daftar tersebut? 2) nama yang menyatakan seketurunan. Sebagai contoh cara mengira nisbah semasa, mari lihat lembaran imbangan untuk syarikat xyz: Seharusnya mempunyai tahap literasi kewangan yang tinggi selaras dengan perubahan. Menurut sudjiman (1988), penokohan lebih cenderung membahas bagaimana jalan pikir si pengarang dalam menentukan dan memilih tokoh yang nantinya.

Related : Maksud Nisbah Kewangan Menurut Tokoh / Berikut daftar 50 muslim paling berpengaruh di dunia edisi 2021..